相關習題
0 88698 88706 88712 88716 88722 88724 88728 88734 88736 88742 88748 88752 88754 88758 88764 88766 88772 88776 88778 88782 88784 88788 88790 88792 88793 88794 88796 88797 88798 88800 88802 88806 88808 88812 88814 88818 88824 88826 88832 88836 88838 88842 88848 88854 88856 88862 88866 88868 88874 88878 88884 88892 266669
科目:
來源:2011-2012學年江西省南昌二中高三(上)第三次月考數學試卷(文科)(解析版)
題型:解答題
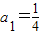
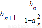
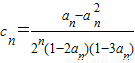
已知數列{a
n}、{b
n}滿足:

,a
n+b
n=1,

.
(Ⅰ)求數列{b
n}的通項公式;
(Ⅱ)若

,求數列{c
n}的前n項和S
n.
查看答案和解析>>
科目:
來源:2011-2012學年江西省南昌二中高三(上)第三次月考數學試卷(文科)(解析版)
題型:解答題
如圖,是某直三棱柱(側棱與底面垂直)被削 去上底后的直觀圖與三視圖的側視圖、俯視圖.在直觀圖中,M是BD的中點.側視圖是直角梯形,俯視圖是等腰直角三角形,有關數據如圖所示.
(Ⅰ)求出該幾何體的體積;
(Ⅱ)求證:EM∥平面ABC;
(Ⅲ)試問在棱DC上是否存在點N,使NM⊥平面BDE?若存在,確定點N的位置;若不存在,請說明理由.

查看答案和解析>>
科目:
來源:2011-2012學年江西省南昌二中高三(上)第三次月考數學試卷(文科)(解析版)
題型:解答題
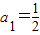
已知數列{a
n}滿足:

,2a
n+1=a
na
n+1+1
(Ⅰ)求a
2,a
3,a
4;
(Ⅱ)猜想數列{a
n}的通項公式,并證明你的結論;
(Ⅲ)已知數列{b
n}滿足:a
nb
n=1-a
n,S
n為數列{b
n}的前n項和,證明:S
1+S
2+…+S
n-1=n(S
n-1)
查看答案和解析>>
科目:
來源:2011-2012學年江西省南昌二中高三(上)第三次月考數學試卷(文科)(解析版)
題型:解答題
已知函數f(x)是在(0,+∞)上每一點處均可導的函數,若xf′(x)>f(x)在(0,+∞)上恒成立.
(Ⅰ)①求證:函數

在(0,+∞)上是增函數;
②當x
1>0,x
2>0時,證明:f(x
1)+f(x
2)<f(x
1+x
2);
(Ⅱ)已知不等式ln(x+1)<x在x>-1且x≠0時恒成立,求證:

…

.
查看答案和解析>>
科目:
來源:2011-2012學年陜西省寶雞市金臺區(qū)高一(上)數學質量檢測試卷(解析版)
題型:選擇題
以下給出了6組對象:
(1)比較小的數; (2)不大于10的非負偶數; (3)所有三角形;(4)直角坐標平面內橫坐標為零的點;(5)高個子男生;(6)某班17歲以下的學生.
其中能構成集合的是( )
A.(2)、(4)、(6)
B.(1)、(5)
C.(2)、(3)、(4)、(6)
D.(3)、(4)、(6)
查看答案和解析>>
科目:
來源:2011-2012學年陜西省寶雞市金臺區(qū)高一(上)數學質量檢測試卷(解析版)
題型:選擇題
若A={0,1,2,3},B={x|x=3a,a∈A},則A∩B=( )
A.{1,2}
B.{1,0}
C.{0,3}
D.{3}
查看答案和解析>>
科目:
來源:2011-2012學年陜西省寶雞市金臺區(qū)高一(上)數學質量檢測試卷(解析版)
題型:選擇題
函數y=a
x在[0,1]上的最大值與最小值這和為3,則a=( )
A.

B.2
C.4
D.

查看答案和解析>>
科目:
來源:2011-2012學年陜西省寶雞市金臺區(qū)高一(上)數學質量檢測試卷(解析版)
題型:選擇題
若集合A={x|ax2+2x+a=0,a∈R}中有且只有一個元素,則a的取值集合是( )
A.{1}
B.{-1}
C.{0,1}
D.{-1,0,1}
查看答案和解析>>
科目:
來源:2011-2012學年陜西省寶雞市金臺區(qū)高一(上)數學質量檢測試卷(解析版)
題型:選擇題
下列各式正確的是( )
A.

B.log
a(x+y)=log
ax+log
ay
C.

D.

=

查看答案和解析>>
科目:
來源:2011-2012學年陜西省寶雞市金臺區(qū)高一(上)數學質量檢測試卷(解析版)
題型:選擇題
已知f(x)=2x2-2x,則在下列區(qū)間中,方程f(x)=0有實數解的是( )
A.(-3,-2)
B.(-1,0)
C.(2,3)
D.(4,5)
查看答案和解析>>