相關習題
0 86245 86253 86259 86263 86269 86271 86275 86281 86283 86289 86295 86299 86301 86305 86311 86313 86319 86323 86325 86329 86331 86335 86337 86339 86340 86341 86343 86344 86345 86347 86349 86353 86355 86359 86361 86365 86371 86373 86379 86383 86385 86389 86395 86401 86403 86409 86413 86415 86421 86425 86431 86439 266669
科目:
來源:2012-2013學年山東省濟寧市曲阜崇德高考補習學校高三(上)期中數學試卷(文科)(解析版)
題型:選擇題
下列四個圖象中,是函數圖象的是( )

A.(1)
B.(1)(3)(4)
C.(1)(2)(3)
D.(3)(4)
查看答案和解析>>
科目:
來源:2012-2013學年山東省濟寧市曲阜崇德高考補習學校高三(上)期中數學試卷(文科)(解析版)
題型:選擇題
若非空集合S⊆{1,2,3,4,5},且若a∈S,則必有6-a∈S,則所有滿足上述條件的集合S共( )
A.6個
B.7個
C.8個
D.9個
查看答案和解析>>
科目:
來源:2012-2013學年山東省濟寧市曲阜崇德高考補習學校高三(上)期中數學試卷(文科)(解析版)
題型:選擇題
某公司在甲、乙兩地銷售一種品牌車,利潤(單位:萬元)分別為L1=5.06x-0.15x2和L2=2x,其中x為銷售量(單位:輛).若該公司在這兩地共銷售15輛車,則能獲得的最大利潤為( )
A.45.606
B.45.6
C.45.56
D.45.51
查看答案和解析>>
科目:
來源:2012-2013學年山東省濟寧市曲阜崇德高考補習學校高三(上)期中數學試卷(文科)(解析版)
題型:選擇題
若向量

=(3,-6),

=(4,2),

=(-12,-6),則下列結論中錯誤的是( )
A.

⊥

B.

∥

C.

=

-3

D.對任一向量

,存在實數a,b使

=a

+b

查看答案和解析>>
科目:
來源:2012-2013學年山東省濟寧市曲阜崇德高考補習學校高三(上)期中數學試卷(文科)(解析版)
題型:選擇題
下列命題中,正確的是( )
A.若a>b,c>d,則ac>bc
B.若ac>bc,則a<b
C.若

,則a<b
D.若a>b,c>d,則a-c>b-d
查看答案和解析>>
科目:
來源:2012-2013學年山東省濟寧市曲阜崇德高考補習學校高三(上)期中數學試卷(文科)(解析版)
題型:選擇題
已知向量

=(cosθ,sinθ),向量

=(

,-1)則|2

-

|的最大值,最小值分別是( )
A.4

,0
B.4,4

C.16,0
D.4,0
查看答案和解析>>
科目:
來源:2012-2013學年山東省濟寧市曲阜崇德高考補習學校高三(上)期中數學試卷(文科)(解析版)
題型:選擇題
已知函數y=ax2+bx+c(a≠0)的圖象經過點(-1,3)和(1,1)兩點,若0<c<1,則a的取值范圍是( )
A.(1,3)
B.(1,2)
C.[2,3)
D.[1,3]
查看答案和解析>>
科目:
來源:2012-2013學年山東省濟寧市曲阜崇德高考補習學校高三(上)期中數學試卷(文科)(解析版)
題型:選擇題
設動直線x=m與函數f(x)=x
2,g(x)=lnx的圖象分別于點M、N,則|MN|的最小值為( )
A.

B.

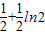
C.1+ln2
D.ln2-1
查看答案和解析>>
科目:
來源:2012-2013學年山東省濟寧市曲阜崇德高考補習學校高三(上)期中數學試卷(文科)(解析版)
題型:選擇題
已知f(x)=a
x-2,g(x)=log
a|x|(a>0且a≠1),若f(4)•g(-4)<0,則y=f(x),y=g(x)在同一坐標系內的大致圖象是( )
A.

B.

C.

D.

查看答案和解析>>
科目:
來源:2012-2013學年山東省濟寧市曲阜崇德高考補習學校高三(上)期中數學試卷(文科)(解析版)
題型:選擇題
某廠將原油精煉為汽油,需對原油進行冷卻和加熱,如果第x小時,原油溫度(單位:℃)為

,那么,原油溫度的瞬時變化率的最小值是( )
A.8
B.

C.-1
D.-8
查看答案和解析>>