【答案】
分析:(1)先利用點P
n(S
n,a
n)(n∈N
*)總在直線x-3y-1=0上求出S
n=3a
n+1;再根據已知前n項和求通項公式的方法即可數列{a
n}的通項公式;
(2)先利用上面的結論求出數列

的通項公式,再代入數列的求和公式求出T
n,進而求出其最大值(或其最大值的臨界值);最后再與

比較即可求出結論.
解答:解:(1)∵點P
n(S
n,a
n)(n∈N
*)總在直線x-3y-1=0上.
∴S
n=3a
n+1
當n=1時,a
1=3a
1+1,∴

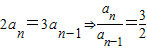
當n≥2時,a
n=S
n-S
n-1=3a
n-3a
n-1
(n≥2)
即數列{a
n}是首項

,公比

的等比數列
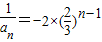
∴

.
(2)∵

,
∴

∴

=

=

>-6
∵對?n∈N
*總有

成立
∴必須并且只需

即m≥13.
∴m的最小值為13.
點評:本題主要考查數列的綜合知識以及數列與不等式相結合問題.解決第二問的關鍵在于把“對?n∈N
*總有

成立'轉化為求T
n的最大值(或其最大值的臨界值)問題.