【答案】
分析:法一:(1)連接AC,AC交BD于O,連接EO要證明PA∥平面EDB,只需證明直線PA平行平面EDB內的直線EO;
(2)要證明PB⊥平面EFD,只需證明PB垂直平面EFD內的兩條相交直線DE、EF,即可;
(3)必須說明∠EFD是二面角C-PB-D的平面角,然后求二面角C-PB-D的大小.
法二:如圖所示建立空間直角坐標系,D為坐標原點,設DC=a.
(1)連接AC,AC交BD于G,連接EG,求出

,即可證明PA∥平面EDB;
(2)證明EF⊥PB,

,即可證明PB⊥平面EFD;
(3)求出

,利用

,求二面角C-PB-D的大。
解答:
解:方法一:
(1)證明:連接AC,AC交BD于O,連接EO.
∵底面ABCD是正方形,∴點O是AC的中點
在△PAC中,EO是中位線,∴PA∥EO
而EO?平面EDB且PA?平面EDB,
所以,PA∥平面EDB
(2)證明:
∵PD⊥底面ABCD且DC?底面ABCD,∴PD⊥DC
∵PD=DC,可知△PDC是等腰直角三角形,而DE是斜邊PC的中線,
∴DE⊥PC.①
同樣由PD⊥底面ABCD,得PD⊥BC.
∵底面ABCD是正方形,有DC⊥BC,∴BC⊥平面PDC.
而DE?平面PDC,∴BC⊥DE.②
由①和②推得DE⊥平面PBC.
而PB?平面PBC,∴DE⊥PB
又EF⊥PB且DE∩EF=E,所以PB⊥平面EFD.
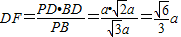
(3)解:由(2)知,PB⊥DF,故∠EFD是二面角C-PB-D的平面角.
由(2)知,DE⊥EF,PD⊥DB.
設正方形ABCD的邊長為a,
則


,


.
在Rt△PDB中,

.
在Rt△EFD中,

,∴

.
所以,二面角C-PB-D的大小為

.

方法二:如圖所示建立空間直角坐標系,D為坐標原點,設DC=a.
(1)證明:連接AC,AC交BD于G,連接EG.
依題意得

.
∵底面ABCD是正方形,∴G是此正方形的中心,故點G的坐標為

且

.
∴

,這表明PA∥EG.
而EG?平面EDB且PA?平面EDB,∴PA∥平面EDB.
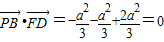
(2)證明;依題意得B(a,a,0),

.
又

,故

.
∴PB⊥DE.
由已知EF⊥PB,且EF∩DE=E,所以PB⊥平面EFD.
(3)解:設點F的坐標為(x
,y
,z
),

,則(x
,y
,z
-a)=λ(a,a,-a).
從而x
=λa,y
=λa,z
=(1-λ)a.所以

.
由條件EF⊥PB知,

,即

,解得

∴點F的坐標為

,且

,

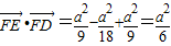
∴

即PB⊥FD,故∠EFD是二面角C-PB-D的平面角.
∵

,且

,

,
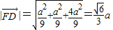
∴

.
∴

.
所以,二面角C-PB-D的大小為

.
點評:本小題考查直線與平面平行,直線與平面垂直,二面角等基礎知識,考查空間想象能力和推理論證能力.