【答案】
分析:(Ⅰ)利用奇函數定義f(x)=-f(x)中的特殊值f(0)=0求b的值;
(Ⅱ)設x
1<x
2然后確定f(x
1)-f(x
2)的符號,根據單調函數的定義得到函數f(x)的單調性;
(III)結合單調性和奇函數的性質把不等式f(t
2-2t)+f(2t
2-k)<0轉化為關于t的一元二次不等式,最后由一元二次不等式知識求出k的取值范圍.
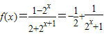
解答:解:(Ⅰ)因為f(x)是奇函數,所以f(0)=0,
即

(Ⅱ)由(Ⅰ)知

,
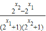
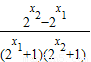
設x
1<x
2則f(x
1)-f(x
2)=

-

=

因為函數y=2
x在R上是增函數且x
1<x
2∴f(x
1)-f(x
2)=

>0
即f(x
1)>f(x
2)
∴f(x)在(-∞,+∞)上為減函數
(III)f(x)在(-∞,+∞)上為減函數,又因為f(x)是奇函數,
所以f(t
2-2t)+f(2t
2-k)<0
等價于f(t
2-2t)<-f(2t
2-k)=f(k-2t
2),
因為f(x)為減函數,由上式可得:t
2-2t>k-2t
2.
即對一切t∈R有:3t
2-2t-k>0,
從而判別式

.
所以k的取值范圍是k<-

.
點評:本題主要考查函數奇偶性與單調性的綜合應用;同時考查一元二次不等式恒成立問題的解決策略,是一道綜合題.