已知拋物線y2=4x及點P(2,2),直線l的斜率為1且不過點P,與拋物線交于點A,B,
(1)求直線l在y軸上截距的取值范圍;
(2)若AP,BP分別與拋物線交于另一點C、D,證明:AD,BC交于定點.
【答案】
分析:(1)設直線l的方程為y=x+b(b≠0),將直線的方程代入拋物線的方程,消去y得到關于x的一元二次方程,再結合方程有兩個實根的條件:△>0,解決問題.
(2)設A,B坐標分別為

,因為AB斜率為1,得出m,n的關系式,再結合B、P、D共線,利用直線斜紡的關系得直線AD的方程,最后令x=0時,即直線AD與y軸的交點為(0,2),同理可得BC與y軸的交點也為(0,2),從而解決問題.
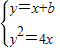
解答:解:(1)設直線l的方程為y=x+b(b≠0),由于直線不過點P,因此b≠0
由

得x
2+(2b-4)x+b
2=0,由△>0,解得b<1
所以,直線l在y軸上截距的取值范圍是(-∞,0)∪(0,1)
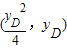
(2)設A,B坐標分別為

,因為AB斜率為1,所以m+n=4,
設D點坐標為

,因為B、P、D共線,所以k
PB=k
DP,得

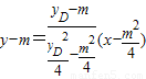
直線AD的方程為

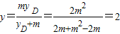
當x=0時,

即直線AD與y軸的交點為(0,2),同理可得BC與y軸的交點也為(0,2),
所以AD,BC交于定點(0,2).
點評:本小題主要考查拋物線的標準方程、直線的方程、線與圓錐曲線的綜合問題等基礎知識,考查運算求解能力,考查方程思想、化歸與轉化思想.屬于基礎題.