【答案】
分析:(Ⅰ)先求函數的定義域,然后求出函數f(x)的導函數,利用二次函數的性質判定導函數的符號,從而確定函數f(x)在定義域上的單調性;
(Ⅱ)需要分類討論,由(Ⅰ)可知分類標準為b≥

,0<b<

,b≤0或f'(x)<0.參數取某些特定值時,可只管作出判斷,單列為一類;不能作出直觀判斷的,再分為一類,用通法解決,另外要注意由f'(x)=0求得的根不一定就是極值點,需要判斷在該點兩側的異號性后才能稱為“極值點”.
(Ⅲ)先構造函數h(x)=x
3-x
2+ln(x+1),然后研究h(x)在[0,+∞)上的單調性,求出函數h(x)的最小值,從而得到ln(x+1)>x
2-x
3,最后令

,即可證得結論.
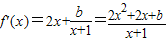
解答:解:(Ⅰ)函數f(x)=x
2+bln(x+1)的定義域在(-1,+∞)

令g(x)=2x
2+2x+b,則g(x)在

上遞增,在

上遞減,

g(x)=2x
2+2x+b>0在(-1,+∞)上恒成立,
所以f'(x)>0即當

,函數f(x)在定義域(-1,+∞)上單調遞增.
(Ⅱ)(1)由(Ⅰ)知當

時函數f(x)無極值點
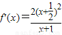
(2)當

時,

,
∴


,
∴

時,函數f(x)在(-1,+∞)上無極值點
(3)當

時,解f'(x)=0得兩個不同解

當b<0時,

,
∴x
1∈(-∞,-1),x
2∈(-1,+∞),此時f(x)在(-1,+∞)上有唯一的極小值點

當

時,x
1,x
2∈(-1,+∞)f'(x)在(-1,x
1),(x
2,+∞)都大于0,
f'(x)在(x
1,x
2)上小于0,此時f(x)有一個極大值點

和一個極小值點

綜上可知,b<0,時,f(x)在(-1,+∞)上有唯一的極小值點


時,f(x)有一個極大值點

和一個極小值點


時,函數f(x)在(-1,+∞)上無極值點.
(Ⅲ)當b=-1時,f(x)=x
2-ln(x+1).令

上恒正
∴h(x)在[0,+∞)上單調遞增,
當x∈(0,+∞)時,恒有h(x)>h(0)=0
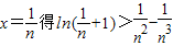
即當x∈(0,+∞)時,有x
3-x
2+ln(x+1)>0,ln(x+1)>x
2-x
3,對任意正整數n,取
點評:本題主要考查了函數的單調性,以及導數的應用和不等式的證明方法,屬于中檔題.